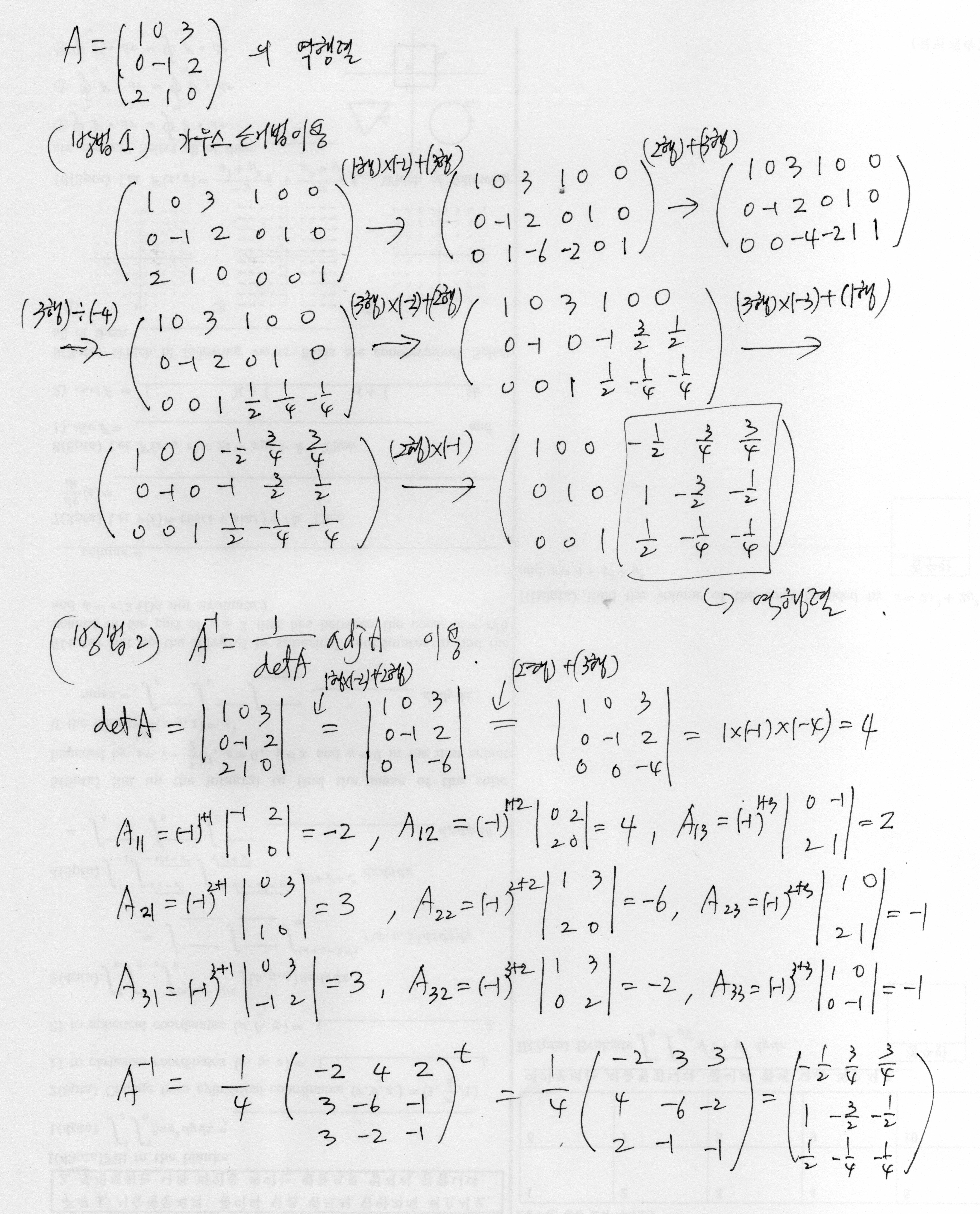
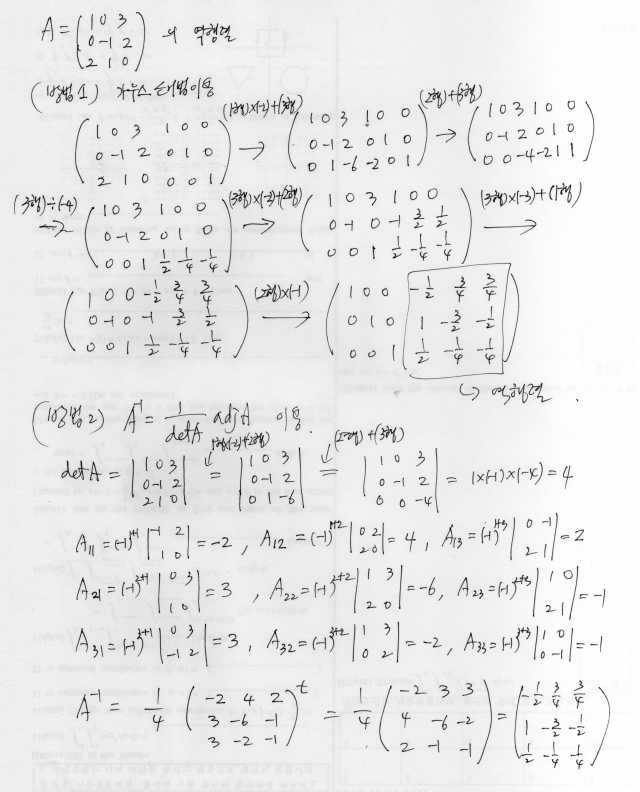
역행렬 구하는 두가지 방법

역행렬 구하는 두가지 방법

이 글은 선형대수 카테고리에 분류되었고 , 태그가 있습니다. 고유주소 북마크.

2 Responses to 역행렬 구하는 두가지 방법

  1. Mo Gon Kim의 아바타 Mo Gon Kim 댓글:

    방법2의 det(A)구하는 첫번째 단계, ‘1행*(-2)+(2행)’으로 보이는데, ‘1행*(-2)+(3행)’이 아닐런지요?

댓글 남기기