소셜 수학: socialmathnet.com
수학은 과학의 언어, 인간사고의 결정체
컨텐츠로 건너뛰기
home
공지사항
뉴스
page2
Mathjax
일정표
수학일정
영재일정
링크
유튜브
수학
아주대 수학과
수학 아지트 초대장
←
특성방정식 구하기
분수함수 적분
→
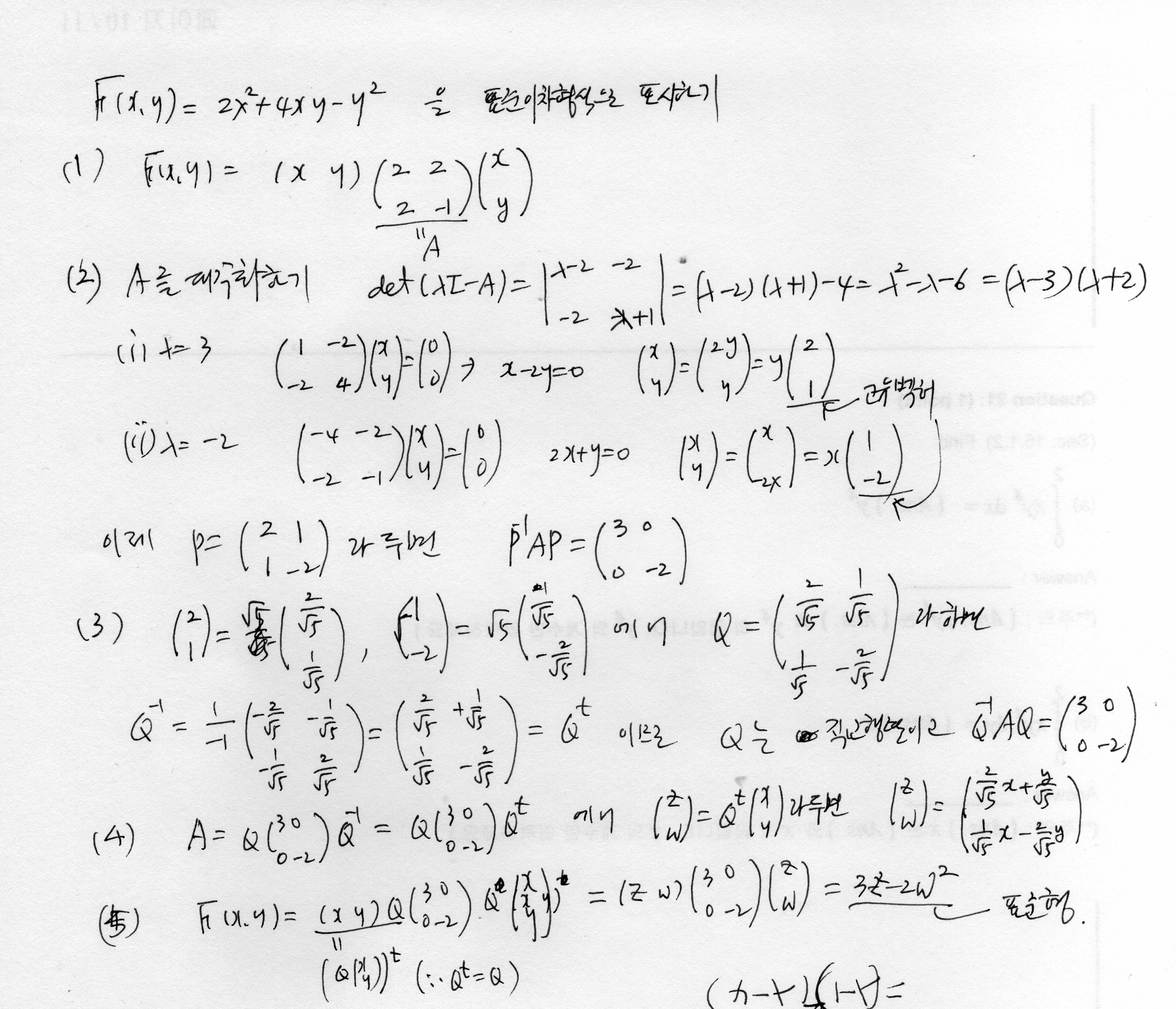
2차형식의 표준형 구하기
작성일:
2011/12/03
글쓴이:
edubang
2차형식의 표준형 구하기
이 글 공유하기:
Facebook으로 공유하기 (새 창에서 열림)
Facebook
X에 공유 (새 창에서 열림)
X
좋아하기
가져오는 중...
관련
이 글은
선형대수
카테고리에 분류되었고
이차형식
태그가 있습니다.
고유주소
북마크.
←
특성방정식 구하기
분수함수 적분
→
댓글 남기기
응답 취소
Δ
채팅
spot.im
카테고리
카테고리
카테고리 선택
다변수함수
미분방정식
미분기하
미적분
게임
경영학
고등학교
공간도형
복소함수
공업수학
라플라스변환
공지사항
그누보드
기하
사이트
선형대수
소셜
통계
수학문화
수학교육
수학트위터
수학퍼즐
수학학원
수학연구
수학임용
수학자
시험
학회
해석학
행사
역학
현대대수
위상수학
정수론
종이접기
검색:
최신 글
한국방송통신대학교 프라임칼리지 사이버랩(sage)
수학문화 재생목록
수학밴드 링크
부분공간 판별법
자른 구면의 겉넓이
글 목록
2014년 9월
2013년 12월
2013년 11월
2013년 6월
2012년 10월
2012년 9월
2012년 8월
2012년 7월
2012년 6월
2012년 5월
2012년 4월
2012년 3월
2012년 2월
2012년 1월
2011년 12월
2011년 11월
2011년 10월
2011년 9월
2011년 8월
2011년 4월
그 밖의 기능
계정 만들기
로그인
항목 피드
댓글 피드
WordPress.com
math
카카오 수학 아지트
카카오 아지트에도 수학 관련 토론 그룹이 있습니다.
링크
를 클릭하세요.
인수분해
미분하기
적분하기
미방풀기
페이스북
미적분(Calculus) 페이지
복소함수 페이지
공업수학(Eng Mathematics) 페이지
교육 Education 페이지
수학(Mathematics) 그룹
수학(Mathematics) 페이지
수학교육(Mathematics Education) 그룹
수학교육(Mathematics Education) 페이지
수학사(Mathematics History) 페이지
학원(Academy) 페이지
영재(Gifted) 페이지
유튜브 앱
네이버
미적분.com
공업수학.com
수학클럽.com
수학사.com
구글
수학세상
연수
교사연수
창의.com
영재
수학경시대회.kr
사이트
Arcademic Skill Builders: Online Educational Games
enotes.com
계영희
국가수리과학연구소
서울대학교 수리과학부 동영상 강의
학원포털
영재한국
이광연
Math Artwork
mathoverflow.net
mathpiad
Mathya Lab
nmath.com
wordpressblog.co.kr
블로그
Blogs of the Day
Dan Meyer(수학교사)
edublogs.org
박부성
김영욱 교수
Hav fuN with Math
수학과 잡담을 위한 소박한 장소
수학이야기
한재영교수의 완전한 인간사랑
의사가 될까
종이접기 동영상
letsplaymath
math-blog.com
more more math
quadue
zariski
마인드맵
수학 마인드맵
수학 페이지
수학 페이지
미적분 페이지
미적분 페이지
선형대수 페이지
선형대수 페이지
개인정보 및 쿠키: 이 사이트에서는 쿠키를 사용합니다. 이 웹사이트를 계속 사용하면 해당 사용에 동의하는 것입니다.
쿠키 제어 방법을 포함하여 자세한 내용을 알아보려면 여기를 참조하세요.
쿠키 정책
댓글
리블로그
구독
구독함
소셜 수학: socialmathnet.com
그 외 구독자 34명 가입
가입하기
이미 WordPress.com 계정을 가지고 계신가요?
바로 로그인하세요.
소셜 수학: socialmathnet.com
구독
구독함
가입
로그인
단축 링크 복사
이 콘텐츠 신고하기
리더에서 글 보기
구독 관리
이 표시줄 접기
댓글 로드중...
댓글 달기...
이메일 (필수)
이름 (필수)
웹사이트
%d
워드프레스닷컴으로 이처럼 사이트 디자인
시작하기