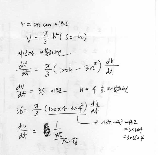
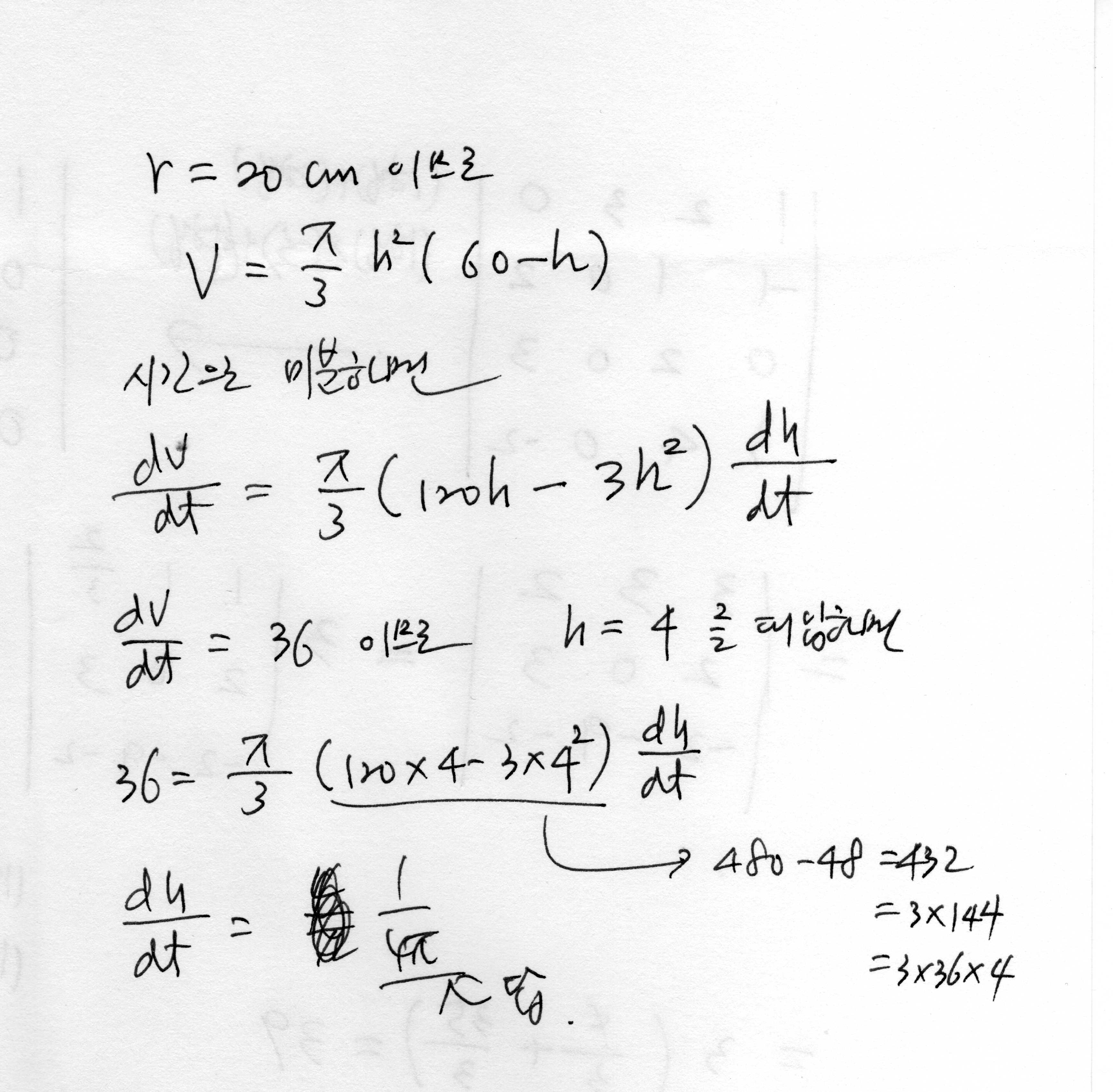
If in a hemispherical bowl of radius r the water is h unit deep, then its volume is ginen by the formula V = ⅓(pi)h²(3r – h). Water is leaking out a hemispherical punch bowl with radius 20 cm at a rate of 36 cm³/s. At what rate is the depth of the water decreasing when the water is 4 cm deep.
채팅
카테고리
-
최신 글
글 목록
그 밖의 기능
math
