그림
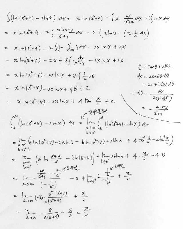
울프램알파 결과 http://www.wolframalpha.com/input/?i=int+%28+ln%28x%5E2+%2B4%29+-+2+lnx+%29+dx
Δ
수학 페이지
미적분 페이지
선형대수 페이지
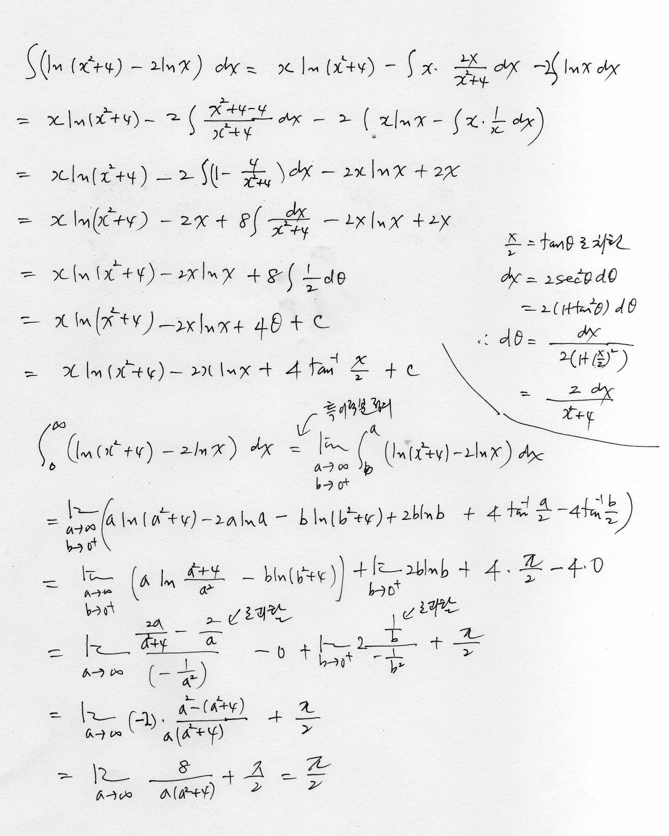
울프램알파 결과 http://www.wolframalpha.com/input/?i=int+%28+ln%28x%5E2+%2B4%29+-+2+lnx+%29+dx