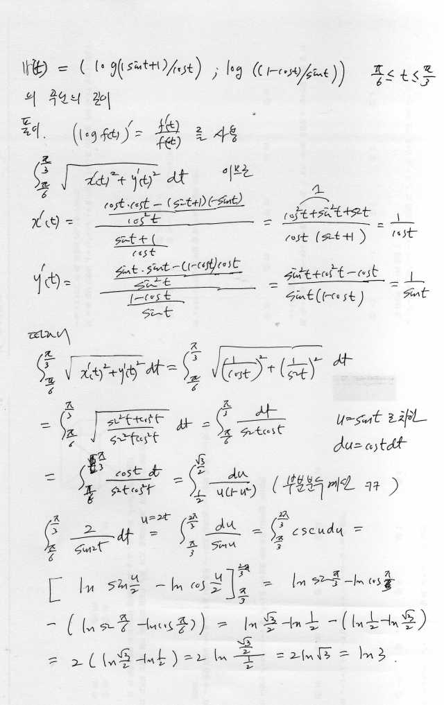
곡선의 길이

그림참조

 

마지막 적분을 울프램알파로 계산하면

http://www.wolframalpha.com/input/?i=integrate%5B1%2Fsin+x%2C+%7Bx%2C+pi%2F3%2C+2pi%2F3%7D%5D

이 글은 미분기하 카테고리에 분류되었고 , 태그가 있습니다. 고유주소 북마크.

댓글 남기기