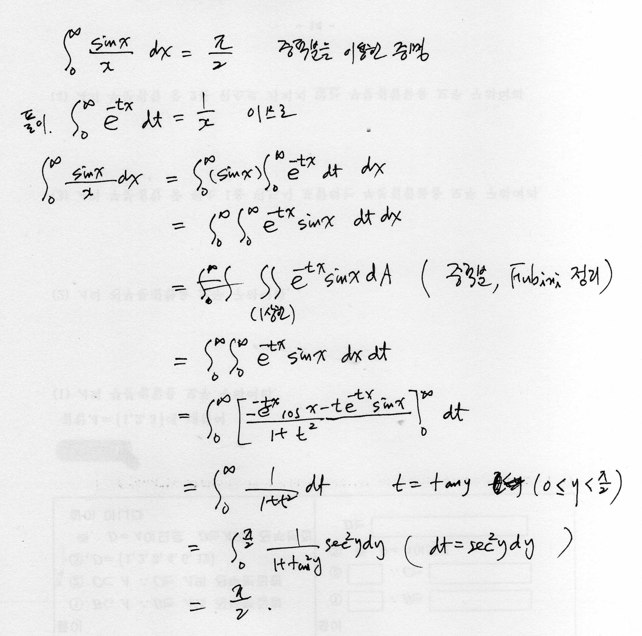
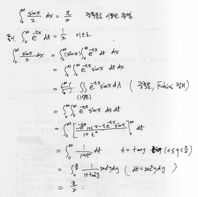
integrate[sin[x]/x, {x,0, infinity}]

(1)중적분 사용

(2-1) contour integral

http://people.reed.edu/~jerry/311/lec08.pdf

(2-2) contour integral

http://raghumahajan.wordpress.com/2010/07/26/integral-of-sinxx/

(3)  Dirichlet integral ( Fourier integral)

http://press.princeton.edu/books/maor/chapter_10.pdf

이 글은 미적분, 복소함수 카테고리에 분류되었고 , , 태그가 있습니다. 고유주소 북마크.

1 Response to integrate[sin[x]/x, {x,0, infinity}]

  1. 이병찬의 아바타 이병찬 댓글:

    교수님 풀이 다섯번째 줄에서 여섯번째 줄로 넘어갈 때(x에 대해 먼저 적분)는 어떻게 한 건가요?

    그리고 부분적분이랑 치환적분으로 안 되는데 contour를 잡아서 적분하면 되는 경우도 있는 거죠?
    (저는 그동안 부분적분이랑 치환적분으로 안 되면 안 된다고 생각해와서요.)

댓글 남기기