소셜 수학: socialmathnet.com
수학은 과학의 언어, 인간사고의 결정체
컨텐츠로 건너뛰기
  • home
  • 공지사항
  • 뉴스
    • page2
    • Mathjax
  • 일정표
    • 수학일정
    • 영재일정
  • 링크
    • 유튜브
    • 수학
  • 아주대 수학과
  • 수학 아지트 초대장
← basis, subbasis, product space
curvature of plane curve (평면 곡선의 곡률), signed curvature →

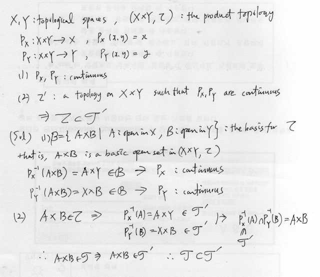
product topology is the coarsest topology that the projections are continuous

작성일: 2012/10/03 글쓴이: edubang

product topology

이 글 공유하기:

  • Facebook으로 공유하기 (새 창에서 열림) Facebook
  • X에 공유 (새 창에서 열림) X
좋아하기 가져오는 중...

관련

이 글은 위상수학 카테고리에 분류되었고 product topology, projection 태그가 있습니다. 고유주소 북마크.
← basis, subbasis, product space
curvature of plane curve (평면 곡선의 곡률), signed curvature →

댓글 남기기 응답 취소

  • 채팅

    • spot.im
  • 카테고리

  • 최신 글

    • 한국방송통신대학교 프라임칼리지 사이버랩(sage)
    • 수학문화 재생목록
    • 수학밴드 링크
    • 부분공간 판별법
    • 자른 구면의 겉넓이
  • 글 목록

    • 2014년 9월
    • 2013년 12월
    • 2013년 11월
    • 2013년 6월
    • 2012년 10월
    • 2012년 9월
    • 2012년 8월
    • 2012년 7월
    • 2012년 6월
    • 2012년 5월
    • 2012년 4월
    • 2012년 3월
    • 2012년 2월
    • 2012년 1월
    • 2011년 12월
    • 2011년 11월
    • 2011년 10월
    • 2011년 9월
    • 2011년 8월
    • 2011년 4월
  • 그 밖의 기능

    • 계정 만들기
    • 로그인
    • 항목 피드
    • 댓글 피드
    • WordPress.com
  • math

  • 카카오 수학 아지트

    카카오 아지트에도 수학 관련 토론 그룹이 있습니다. 링크 를 클릭하세요.
  • 인수분해

  • 미분하기

  • 적분하기

  • 미방풀기

  • 페이스북

    • 미적분(Calculus) 페이지
    • 복소함수 페이지
    • 공업수학(Eng Mathematics) 페이지
    • 교육 Education 페이지
    • 수학(Mathematics) 그룹
    • 수학(Mathematics) 페이지
    • 수학교육(Mathematics Education) 그룹
    • 수학교육(Mathematics Education) 페이지
    • 수학사(Mathematics History) 페이지
    • 학원(Academy) 페이지
    • 영재(Gifted) 페이지
    • 유튜브 앱
  • 네이버

    • 미적분.com
    • 공업수학.com
    • 수학클럽.com
    • 수학사.com
  • 구글

    • 수학세상
  • 연수

    • 교사연수
    • 창의.com
  • 영재

    • 수학경시대회.kr
  • 사이트

    • Arcademic Skill Builders: Online Educational Games
    • enotes.com
    • 계영희
    • 국가수리과학연구소
    • 서울대학교 수리과학부 동영상 강의
    • 학원포털
    • 영재한국
    • 이광연
    • Math Artwork
    • mathoverflow.net
    • mathpiad
    • Mathya Lab
    • nmath.com
    • wordpressblog.co.kr
  • 블로그

    • Blogs of the Day
    • Dan Meyer(수학교사)
    • edublogs.org
    • 박부성
    • 김영욱 교수
    • Hav fuN with Math
    • 수학과 잡담을 위한 소박한 장소
    • 수학이야기
    • 한재영교수의 완전한 인간사랑
    • 의사가 될까
    • 종이접기 동영상
    • letsplaymath
    • math-blog.com
    • more more math
    • quadue
    • zariski
  • 마인드맵

    • 수학 마인드맵
  • 수학 페이지

    수학 페이지
  • 미적분 페이지

    미적분 페이지
  • 선형대수 페이지

    선형대수 페이지
  • 10월 2012
    월 화 수 목 금 토 일
    1234567
    891011121314
    15161718192021
    22232425262728
    293031  
    « 9월   6월 »
  • Blog Stats

    • 255,582 hits
    • 1차독립
    • basis
    • chain rule
    • improper integral
    • STEAM
    • 겉넓이
    • 고유값
    • 고유벡터
    • 곡률
    • 곡선
    • 구면좌표
    • 균등수렴
    • 극대
    • 극소
    • 극좌표
    • 극한
    • 급수
    • 기댓값
    • 기저
    • 기하
    • 다변수함수
    • 대각화
    • 대한수학회
    • 라플라스변환
    • 로그
    • 로랑급수
    • 미방
    • 반복적분
    • 벡터공간
    • 벡터함수
    • 복소수
    • 복소적분
    • 부등식
    • 부분적분
    • 부정적분
    • 부피
    • 삼각함수
    • 삼각함수치환
    • 삼중적분
    • 선형사상
    • 수퍼즐
    • 수학
    • 수학경시대회
    • 수학문화
    • 엡실론델타
    • 여인자
    • 역삼각함수
    • 역행렬
    • 연립방정식
    • 완전미방
    • 유수
    • 이변수
    • 이상적분
    • 이차형식
    • 일차독립
    • 적분
    • 정수
    • 정수론
    • 종이접기
    • 중적분
    • 증명
    • 직업
    • 착시
    • 치역
    • 치환적분
    • 퀴즈
    • 테일러급수
    • 특성방정식
    • 퍼즐
    • 편미분
    • 평등수렴
    • 학회
    • 한국어
    • 행렬
    • 행렬식
  • 페이지

    • home
    • Mathjax
    • page2
    • 공지사항
    • 뉴스
    • 링크
      • 수학
      • 유튜브
    • 일정표
      • ICME-12
      • Math Plaza
      • 수학일정
      • 영재일정
소셜 수학: socialmathnet.com
WordPress.com 제공.
개인정보 및 쿠키: 이 사이트에서는 쿠키를 사용합니다. 이 웹사이트를 계속 사용하면 해당 사용에 동의하는 것입니다.
쿠키 제어 방법을 포함하여 자세한 내용을 알아보려면 여기를 참조하세요. 쿠키 정책
  • 댓글
  • 리블로그
  • 구독 구독함
    • 소셜 수학: socialmathnet.com
    • 그 외 구독자 34명 가입
    • 이미 WordPress.com 계정을 가지고 계신가요? 바로 로그인하세요.
    • 소셜 수학: socialmathnet.com
    • 구독 구독함
    • 가입
    • 로그인
    • 단축 링크 복사
    • 이 콘텐츠 신고하기
    • 리더에서 글 보기
    • 구독 관리
    • 이 표시줄 접기

댓글 로드중...

    %d
      워드프레스닷컴으로 이처럼 사이트 디자인
      시작하기